Как добиваться результата через кросс-функциональное взаимодействие?
Успейте забронировать участие в тренинге Сергея Дубовика на самых выгодных условиях.
На этом бесплатном вебинаре ищем точки, где интересы сторон реально совпадают.
В классической экономической теории описано довольно много моделей ценообразования. Однако существуют противоположные точки зрения на возможность использования экономической теории на практике. Наиболее распространенная (и довольно обосновано) точка зрения состоит в том, что экономическая теория не может быть использована менеджерами-практиками никоим образом. В данной статье делается попытка выделить наиболее интересные с практической точки зрения выводы экономической теории, адаптировать их и описать применимые на практике методы ценообразования.
Как известно, изменение цены на продукт или услугу влечет за собой изменение объема продаж. При этом по каждому отдельному товару зависимость изменения объема спроса от изменения уровня цены может быть разной. И зачастую важно определить не абсолютный объем спроса, а его реакцию на изменение цены.
Для оценки зависимости изменения объема спроса от изменения цены вводится понятие эластичности спроса по цене. Коэффициент эластичности спроса по цене (Е) показывает, насколько процентов изменится объем продаж (q) при изменении цены (p) на 1%.

значок «∆» означает абсолютное изменение.
Кривая, отражающая зависимость объема спроса от цены, называется кривой спроса. Наклон между любыми двумя точками на кривой и определяет эластичность спроса при данной уровне цен. Зная форму такой кривой можно рассчитать цены, при которой достигается максимум выручки и прибыли. В экономической теории выведены условия (естественно, опустим вывод формул), при которых достигается максимум выручки и максимум прибыли.
Максимум выручки
Условие достижения максимума выручки: E = 1 или

То есть: максимум выручки достигается при такой цене, когда процентное изменение объема продаж равно процентному изменению цены (c обратным знаком).
Практический вывод: Если при текущей цене эластичность меньше 1, то для увеличения выручки выгодно цену повышать. И наоборот – если эластичность больше 1, то для увеличения выручки выгодно цену снижать.
Максимум прибыли
Выручка хотя и является одним из важнейших параметров деятельности компании, однако, намного более значимым для компании является определение цен, при которых достигается максимум прибыли.
Условие достижения максимума прибыли:

или

где с – переменные затраты на единицу продукции.
То есть: максимум прибыли достигается при такой цене, когда процентное изменение объема продаж равно процентному изменению цены, умноженному на коэффициент p/(p-c).
Практический вывод: Если при текущей цене эластичность меньше p/(p-c), то для увеличения выручки выгодно цену повышать. И наоборот – если эластичность больше p/(p-c), то для увеличения выручки выгодно цену снижать.
Сведем полученные выше выводы в таблицу.
Рекомендации по изменению цены для максимизации выручки и прибыли
| E<1 | Е=1 |
|
|
|
|
| Для увеличения выручки | повышать | сохранять | снижать | снижать | снижать |
| Для увеличения прибыли | повышать | повышать | повышать | сохранять | снижать |
Обратим внимание на следующий практический вывод: Максимум прибыли и максимум выручки достигаются при разных значениях цены. А именно: максимум прибыли всегда достигается при цене большей, чем цена, при которой достигается максимум выручки.
Пример по определению максимума выручки и прибыли
Предположим, нам известна некая функция спроса.

Переменные затраты на единицу продукции составляют 35 $ за шт.
Общие постоянные затраты составляют 5000 $.
Рассчитаем суммы выручки и прибыли для различных уровней цен.

| Цена (от-до) | 40-50 | 50-60 | 60-70 | 70-80 |
| Эластичность спроса (E) | 0,73 | 1,90 | 4,10 | 10,00 |
| Коэффициент p/(p-c) | 4,50 | 2,75 | 2,17 | 1,88 |
Средняя эластичность спроса в интервале цен рассчитывается как

Комментарий:
Практические советы:
Выше были описаны условия для определения оптимальной цены для максимизации выручки и прибыли на основании данных о кривой спроса. Однако на практике точно установить кривую спроса очень сложно. Можно выделить следующие методы определения ценовой эластичности:
| Возможные методы | «Но» |
| 1. Обработка статистической информации о продаже товаров на различных рынках или на одном рынке, но в разные моменты времени по разным ценам. | Но для применения данного метода необходима хорошая база данных, приведенная к одинаковым условиям относительно рыночных сегментов, типов потребителей, мест продажи и т.п., влияющих на ценовую эластичность. |
| 2. Постановка ценовых экспериментов. Цены могут меняться в течение определенного времени в нескольких магазинах или назначаться различные на одинаковые товары в нескольких магазинах. | Но существенно важным при проведении ценовых экспериментов является сохранение неизменными всех других факторов. Подобный эксперимент под силу далеко не всем компаниям, поскольку его проведение требует значительных средств и, кроме того, как указывалось выше, на продажи помимо цен влияют и другие факторы, которые не поддаются контролю. |
| 3. Проведение опроса потребителей с целью выяснения, при каких ценах они готовы покупать определенные товары. | Но обычно наблюдается существенное отличие между высказываниями потребителей и их реальным поведением на рынке. |
| 4. Построение экономико-математических моделей моделирующих поведение групп потребителей. | Но моделирование поведения человека, перевод на язык формульных зависимостей многих психологических и социальных факторов с выработкой конкретных количественных рекомендаций, интересующих практиков, представляет трудноразрешимую задачу. Такие модели, скорее представляют теоретический интерес и в практике не используются. |
Как видно, на практике часто очень трудно добиться оценок эластичности, достаточно стабильных и надежных для определения на их основе оптимальных цен. По оценкам некоторых экспертов, точность определения ценовой эластичности составляет ±25%. Такой значительный разброс может существенно повлиять на конечный результат при решении практических задач.
Поэтому в данной статье предлагается взглянуть на проблему с другой стороны.
Вместо того чтобы спросить: «Какая эластичность спроса на товар?», спросим: «Какая минимальная эластичность спроса требуется для не уменьшения уровня прибыли при изменении цены?»
Для описания условия воспользуемся обозначениями: p – цена продажи единицы продукции; Δp – изменение цены (при снижении цены Δp<0); c – переменные затраты на единицу продукции; q – объем продаж в натуральном выражении; Δq – изменение объема продаж.
Условие неуменьшения уровня прибыли выглядит следующим образом:

или
.
То есть: для сохранения уровня прибыли при изменении цены процентное изменение объема продаж должно быть больше, чем процентное изменение цены (с обратным знаком) умноженное на множитель
.
Пример по определению необходимого минимального уровня эластичности
Компания планирует снижение цены на один из продуктов на 5% (с 200 р. за единицу до 190 р.). Другие данные приведены в таблице.
| p | Цена | 200 руб. |
| c | Переменные затраты (на ед.) | 90 руб. |
| Постоянные затраты Всего | 25 000 руб. | |
| q | Объем продаж текущий | 300 шт. |
| ∆p | Хотим изменить цену на | -10 руб. |
Требуется оценить: насколько процентов должны увеличиться продажи этого продукта для сохранения уровня прибыли.
По формуле находим необходимое увеличение объема:

Для сохранения уровня прибыли при снижении цены на 5% необходимо увеличение объема продаж на 10%, что в натуральном выражении должно составить 330 шт.
Если по оценкам компании после снижения цены объем продаж увеличится более чем на 10%, то компании выгодно это решение. Если же объем продаж увеличится менее чем на 10%, то снижать цену не следует.
Проверим полученные результаты прямым расчетом прибыли по продукту.
| Исходный | Расчетный | Вариант1 | Вариант2 | |
| Объем продаж (шт.) | 300 | 330 | 370 | 310 |
| Выручка (руб.) | 60 000 | 62 700 | 70 300 | 58 900 |
| Затраты переменные (руб.) | 27 000 | 29 700 | 33 300 | 27 900 |
| Затраты постоянные (руб.) | 25 000 | 25 000 | 25 000 | 25 000 |
| Прибыль (руб.) | 8 000 | 8 000 | 12 000 | 6 000 |
Как видим в исходном варианте (при объеме продаж 300 шт.) и расчетном после изменения цены (при объеме продаж 330 шт.) величина прибыли сохраняется. Если объем продаж составит больше расчетного (например 370 шт.), то прибыль увеличится. Если же объем продаж увеличится недостаточно (310 шт.), произойдет уменьшение прибыли.
Практический совет:
Менеджерам торговых компаний для быстрого расчета в уме можно воспользоваться следующей формулой:
.
Пример: Если наценка на товар 20%, то при каждом снижении цены на 1% объем продаж должен увеличиться минимум на 100%:20%+1=5+1=6%; и, наоборот, при каждом увеличении цены на 1% объем продаж может упасть вплоть до 6%.
Зависимость между изменением цены и необходимым изменением объема продаж с учетом изменения затрат
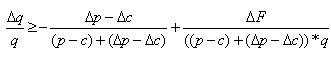
До сих пор мы имели дело только с изменениями цены, которые не влекли за собой никаких изменений в переменных или постоянных затратах. Однако изменение цены может являться частью маркетингового плана, который включает в себя и изменение затрат. Цена может повышаться в связи с улучшениями продукции, которые повышают переменные затраты, или снижение цены могло быть вызвано стремлением вывести на рынок товар с более низкими переменными затратами. Кроме того, некоторые решения по ценообразованию могут потребовать изменения и постоянных затрат.
Для общего случая, когда при изменении цены изменяются и переменные и постоянные затраты, приведем зависимость для сохранения уровня прибыли:

где ΔF – изменение общей суммы постоянных затрат.
Заметим, что если нет изменения ни переменных, ни постоянных затрат, то формула трансформируется в первоначальную:
.
Несмотря на наличие общей формулы, которая может быть применима в большем количестве ситуаций, на практике, по мнению автора, в большинстве случаев обычно хватает постой формулы для определения необходимого изменения объема продаж для сохранения уровня прибыли.
С помощью условия сохранения уровня прибыли также можно рассмотреть диапазон изменения цены, т.е. провести анализ безубыточных продаж для нескольких изменений цены одновременно, который удобно представить графически. Данные возьмем из рассмотренного примера.

Назовем такую кривую – кривой сохранения уровня прибыли. Каждая точка на кривой представляет объем продаж, необходимый для достижения такой же прибыли после изменения цены, какая была до изменения. Кривая сохранения уровня прибыли – простой, но достаточно мощный инструмент для обобщения и оценки динамики последующей прибыли после изменения цены. Упрощенно она представляет собой градуированную линию, которая разделяет выгодные ценовые решения от невыгодных. Выгодные ценовые решения – это те, которые расположены справа и выше от кривой, невыгодные находятся слева и ниже от кривой.
Можно рассмотреть взаимное расположение между кривой спроса и кривой сохранения прибыли.

Если спрос более эластичен, то снижение цены по отношению к базовому уровню ведет к увеличению прибыли (точка смещается выше кривой сохранения прибыли, что означает прибыльность), и, наоборот, повышение цены ведет к снижению прибыли.
Если же спрос менее эластичен, то повышение цены по отношению к базовому уровню ведет к увеличению прибыли (точка смещается правее кривой сохранения прибыли, что означает прибыльность), а понижение цены ведет к снижению прибыли.
Хотя не многие менеджеры знают вид кривой спроса на товар, довольно многие из них могут оценить больше или меньше изменится объем продаж, чем на кривой сохранения прибыли, что дает возможность уверенно принимать решения об изменении цены. При этом для построения кривой сохранения прибыли и оценке необходимого изменения объема продаж используются только данные управленческого учета о структуре затрат компании.
Но от чего же зависит эластичность спроса в каждой конкретной ситуации? Выделяют следующие наиболее существенные факторы:
| Фактор | Комментарий |
| 1. Уникальность - чем более уникален товар или услуга и нет возможности сравнения, тем менее чувствительны покупатели к уровню цены. | Уникальность может быть как действительной (отличие по физическим свойствам, выполняемым функциям и т.д.), так и искусственной (имидж, торговая марка). Именно поэтому многие крупные фирмы, работающие на рынках с большим количеством товаров заменителей, тратят большие средства для придания своим товарам свойств уникальности (реальных или кажущихся). Пример: «Сникер» у большинства потребителей не воспринимается как шоколадная конфета с арахисом, а воспринимается как уникальная продукт «Сникерс». Другой пример: кетчуп «Хайнц», за счет своей густоты явно дистанцировался от других производителей кетчупа, что позволило ему поднять цену на 15-20%. |
| 2. Затрудненность сравнения – покупатели менее чувствительны к уровню цен, если сравнение по свойствам и ценам товаров затруднено. | Простейший вариант создание трудности сравнения – выпуск упаковки другой емкости в отличие от основных конкурентов. Пример: у разных производителей оливок, поставляемых на российских рынок, банки различной емкости (и 280 грамм, и 350, и 420). Кроме того оливки еще различаются и по калибру. В такой ситуации потребитель может только очень примерно оценивать уровень цен (чрезвычайно редко встречаются покупатели, которые ходят по магазину с калькулятором и рассчитывают цену за 100 грамм продукта). Другой вариант трудности сравнения – сложные технические изделия сравнение характеристик которых очень затруднено. Еще один пример: услуги - качество которых можно оценить, только попробовав услугу. В такой ситуации покупатель обращает большее внимание на репутацию производителя или поставщика услуг, нежели на цену. |
| 3. Представление о наличии заменяющих товаров - если цены на товары, воспринимаемые покупателем как аналоги, выше или сопоставимы с ценами на рассматриваемый товар, то покупатель менее чувствителен к ценам на такой товар. | Пример: туристы в незнакомом городе намного хуже осведомлены об альтернативных магазинах и ресторанах по отношению к магазинам и ресторанам на центральных улицах, в которых цены заметно выше. Другой пример манипуляций покупателем – ценовой ряд производителя расширяется за счет еще более совершенной, «продвинутой» модели. Продажи такой модели небольшие, но это создает ощущение относительной дешевизны других моделей. |
| 4. Диапазон справедливости цены – покупатель менее чувствителен к цене, если цена попадает в диапазон, в котором покупатель считает цены «справедливым» или «обоснованными». | У большинства покупателей обычно есть свое представление о «справедливом» диапазоне цен. Однако все оценки такого рода основываются на субъективных ощущениях и привычках покупателя и слабо поддаются описанию. Примером сложившегося диапазона цен, которого придерживается покупатель может служить следующий: «натуральное столовое вино в магазине должно стоить в диапазоне от 120 до 200 рублей». |
| 5. Затраты на переключение – чем выше затраты на переключение покупателя с одного товара на другой, тем менее чувствителен покупатель к цене на первоначальный товар. | Покупатель оценивает новый товар на основе не только его полезности и цены, но и с учетом затрат, которые ему придется понести при переключении на новый товар. Затраты могут учитываться как денежные, так и психологические (привычка, удобство покупателя). Пример: клиенты сотовой связи не часто меняют оператора, так как помимо первоначальных затрат у другого оператора, для клиента еще более критична потеря номера, поэтому основные усилия и акции сотовых операторов нацелены на приобретение новых клиентов (старые никуда не денутся). Пример2: сложная техническая продукция, использование которой требует подстройку всего производственного процесса и обучения персонала. Пример3: Не стоит забывать и о личных отношениях, которые могут складываться с представителем поставщика и существенно влиять на решение о сотрудничестве. |
| 6. Значимость конечного результата – чем больше значимость конечного результата для покупателя и меньше доля одной из комплектующих в общих затратах, тем менее чувствителен покупатель к ценам на эту комплектующую. | Часто цены на сопутствующие товары к дорогим товарам имеют несколько завышенный уровень. Пример: в магазинах электроники в дополнение к телевизорам с большой диагональю часто предлагается тумбочка или подставка под этот телевизор. При этом цена на тумбочку заметно выше, чем в аналогичных мебельных магазинах. |
| 7. Возможность разделения затрат - чем большую часть затрат на покупку несет третья сторона, тем чувствителен покупатель к цене. | Пример: цены на авиабилеты бизнес-класса и цены на гостиничные услуги мало заботят бизнесменов – практически любые затраты такого рода оплачиваются фирмой. |
| 8. Абсолютная величина затрат и доля затрат в доходе потребителя – чем ниже затраты по абсолютной величине или в процентах от общей суммы дохода покупателя, тем менее чувствителен покупатель к цене. | При покупке товаров, стоимость которых в абсолютно выражении невысока, возможная выгода от поиска более дешевой альтернативы оказывается для покупателя явно меньше по сравнению с усилиями и потраченным временем. Кроме того, покупатели с более высоким доходом могут позволить себе более дорогие товары, но у них нет времени на хождение по магазинам. Соответственно они не могут выбирать товар так же тщательно, как покупатели с меньшим доходом, поэтому они платят больше за экономию времени. |
| 9. Оценка качества товара через цену – чем в большей мере покупатель воспринимает цену как сигнал об уровне качества, тем он менее чувствителен к цене (нередко встречается и прямая зависимость – чем выше цена, тем больше спрос на товар). | Можно выделить несколько групп товаров, когда цена становится сигналом качества:
|
| 10. Возможность создания запасов – чем более товар пригоден для хранения, тем покупатели более чувствительны к отклонениям от цен, которые они ожидают в будущем. | Не имеет смысла снижать цены на товары, ожидая, что покупатель будет покупать больше физически-возможного объема своего потребления, если у него нет возможности это хранить. Пример: временное снижение цен на овощные консервы вызовет намного больший рост объема продаж, чем такое же снижение цен на свежие фрукты, которые используются для изготовления таких консервов. |
Обучение антикризисному управлению
Курсы ВЭД
Курсы для генеральных директоров
Курсы для директора по персоналу
Обучение для торговых представителей
Курсы по интернет маркетингу
Обучение по профстандартам
Курсы управления ассортиментом в рознице
Тренинг управленческих навыков
Тренинг по коммуникации
Курсы мерчендайзера
Управление мотивацией персонала
Коучинг тренинг
Система обучения персонала
Оценка персонала
Курсы по подбору персонала
Тренинг по ораторскому искусству
Тренинги - системное мышление
Тренинги продаж b2b
Тренинг продаж по телефону
Обучение торгового персонала
Тренинг для тренеров
Тренинг по переговорам
Тренинг по активным продажам
Тренинг по командообразованию
Тренинг отдела продаж
Курсы коммерческого директора
Курсы по управленческому учету
Курсы для финансовых директоров
Курсы по финансовому анализу
Тренинг - финансы для нефинансистов
Тренинг по лидерству
Курсы E-learning